衡水金卷先享题 2022 信息卷 理数 三 全国乙卷 答案
衡水金卷先享题 2022 信息卷 理数 三 全国乙卷 答案,目前衡水金卷答案网已经汇总了衡水金卷先享题 2022 信息卷 理数 三 全国乙卷 答案的各科答案和试卷,更多衡水金卷答案请关注本网站。


22.【命题意图】本题考查函数与导数,要求考生能用导数解决函数的零点问题.【解题分析】(1)函数f(x)的定义域为(0,十∞),f(x)=(1一k)十lnx,∴.当0


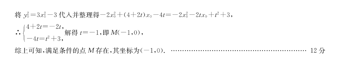
21.【命题意图】本题考查双曲线,要求考生了解双曲线的性质,【解题分析】(1)设A(x1,y),B(x2,y2),y=x+√6,2_y,可得2x2-26.x-6-3a2=0,3a2.'△=(-2√6)2-4X2×(-6-3a2)=72十24a2>0,十w=6,·m=-3-号a2,.|AB=√1+12X√(x1+x2)2-4x1x2=√2×√/18+6a2=2√9十3a2=4√3,解得a=1,.双曲线W的标准方程为x2一兰=1...............3””等年9”””9”年年年ggg00g。年g。gg5个(2)假设存在点M(t,0)(t0)满足题设条件.由(1)知双曲线W的右焦点为F(2,0).设Q(xo,yo)(xo>1)为双曲线W右支上一点..当xo=2时,∠QFM=2∠QMF=90°,∠QMF=45,MF=QF=E=3,1=-1,即M-1,0.六当w≠2时,tan∠QFM=-kcg=2ian∠QMF=ka=,2X0·∠QFM=2∠QMF,∴.-,xo-tx0-21-()2xo-t将y=3.x6-3代入并整理得-2x品+(4十2t)xo一4t=-2x号-2txo+2+3,4+2t=-2t,解得t=一1,即M(-1,0),-4t=t2+3,综上可知,满足条件的点M存在,其坐标为(一1,0).…12分


